青稞白酒清蒸四次清酒醅挥发性风味物质分析

王 建1,2,贾福晨1,尹小庆1,靳玉龙1,钟政昌2,张玉红1*

(1.西藏自治区农牧科学院农产品开发与食品科学研究所,西藏 拉萨 850000;2.西藏农牧大学食品科学学院,西藏 林芝 860000)

摘 要:为改善青稞白酒酿造工艺和提高酒体品质,该研究采用清蒸四次清制备青稞白酒。通过顶空固相微萃取(HS-SPME)结合气相色谱-质谱(GC-MS)联用技术解析青稞白酒发酵过程中头、二、三、四酒醅的挥发性风味物质。 结果表明,头、二、三、四酒醅共检出122种挥发性风味物质,包括醇类26种,醛酮类27种,酯类52种,其他类12种。 头、二、三、四酒醅中分别检出33种、62种、83种、109种挥发性风味物质,共有挥发性风味物质有33种,苯乙醇、糠醛、2-辛酮、乙酸乙酯、棕榈酸乙酯及2,4-二叔丁基酚等化合物含量均较高;头酒醅中醇类、酯类、其他类物质含量整体较高,而二酒醅中醛酮类物质含量整体较高,青稞白酒特征风味物质乙酸乙酯在头酒醅中含量最高。

关键词:青稞白酒;酒醅;风味;清蒸

中国白酒基本上是以高粱或大米作为酿酒粮食,而青稞酒是一种主要分布在我国西北部地区的清香型白酒,因其独特的地域特征、酿造原料和“清蒸四次清”生产工艺等因素,形成了区别于其他清香型白酒的特殊风格[1]。目前市场青稞酒多采用清香型白酒酿造工艺,但因其独特的原料和酿造环境使其酒体风味与口感区别于其他清香型白酒[2]。 本实验在传统清香型青稞酒酿造工艺的基础上,采用加入酱香曲和高温堆积等酱香型白酒生产工艺制备的新型青稞酒,酒体更加丰满,层次更加丰富[3]

酒醅是酒体蒸馏前的前体物质,研究酒醅发酵过程风味物质变化对缩短酿造时间、把控酒体重要风味物质形成、了解发酵机理具有理论参考作用。曹云刚等[4]通过研究汾酒发酵过程中酒醅风味物质变化,解决了夏季高温易酸败的问题并缩短了夏季发酵周期。郎召伟[5]通过研究泸型白酒酒醅在发酵过程中风味变化和蒸馏过程风味物质变化,明确上中下层酒醅的差异性和发酵规律,还明确了醇、醛、酸、酯等在蒸馏过程中的变化规律。高文俊等[1]通过绝对定量和香气活性值等对天佑德青稞酒和酒醅进行研究,确定了天佑德青稞酒重要风味物质和部分重要风味物质在酒醅发酵过程中的变化规律。

该研究应用顶空固相微萃取(headspacesolid-phasemicroextraction,HS-SPME)结合气相色谱-质谱(gas chromatography-mass spectrometry,GC-MS)联用技术对新型青稞白酒发酵过程中头、二、三、四酒醅的挥发性香气成分进行研究分析。 旨在解析新型青稞白酒酿造过程中风味变化,为酒体品质提升提供技术支撑。

1 材料与方法

1.1 材料与试剂

青稞(藏青2000):西藏隆子县;酒曲(清香型大曲、酱香型大曲):西藏农科院食品所研发;酒醅样品(头、二、三、四):本实验室自制。

氯化钠(分析纯):国药集团化学试剂有限公司;2-辛醇(色谱纯):上海麦克林试剂公司;实验用水均为煮沸5 min后冷却至室温的超纯水。

1.2 仪器与设备

Elite-5MS毛细管柱(30m×0.25mm,0.25μm)、CLARUSSQ 8气相色谱质谱仪:铂金埃尔默仪器有限公司;XZ-10DTD超声波清洗仪:宁波新芝生物科技股份有限公司;DF-101S磁力搅拌器:上海科雳仪器设备有限公司;TD-6M低速离心机:四川蜀科仪器有限公司;57324-U固相微萃取三相萃取头、DF-101S固相萃取装置:重庆永捷实验仪器有限公司;UPT-II-10/20/30T纯水仪:四川优普超纯科技有限公司。

1.3 方法

1.3.1 青稞白酒清蒸四次清生产工艺流程及操作要点

操作要点:

选择颗粒饱满,无异味、无霉变的青稞,去除杂质后粉碎成4~8瓣,润粮温度95 ℃、润粮时间20 h左右,入甑蒸料前先将底锅水煮沸,然后将润料均匀撒入,加大蒸汽使品温逐渐上升,整个蒸料时间从装甑算起约50 min,蒸后的原料要求“熟而不粘,内无生心”。随后摊粮冷却至37 ℃,接种混合酒曲(清香型大曲∶酱香型大曲≈1∶4,接种量10%,下同),头入窖发酵(入窖温度20 ℃左右,窖池发酵顶温35~40 ℃,下同)50 d,酒醅装甑蒸馏出酒,馏酒温度为30 ℃左右,即得头酒。 二酒醅冷却至37 ℃后接种10%酒曲,入窖发酵50 d,酒醅装甑蒸馏出酒,馏酒温度为30 ℃左右,即得二酒。三酒醅冷却至37 ℃后接种10%酒曲,入窖发酵50 d,酒醅装甑蒸馏出酒,馏酒温度为30 ℃左右,即得三酒。 四酒醅冷却至37 ℃后接种10%酒曲,入窖发酵50 d,酒醅装甑蒸馏出酒,馏酒温度为30 ℃左右,即得四酒。

1.3.2 酒醅取样

酿造规模为1 000 kg/窖池,采用五点取样法取样,混合均匀,然后再按四分法分别取发酵第0天、10天、20天、30天、40天、50天的样品,编号为F-0、F-10、F-20、F-30、F-40、F-50。

1.3.3 酒醅挥发性风味物质提取

分别取头、二、三、四F-0、F-10、F-20、F-30、F-40、F-50酒醅样品各50 g于250 mL蒸馏圆底烧瓶,加入100 mL饱和食盐水,搅拌均匀,减压蒸馏50 mL馏出液,即为酒醅挥发性风味物质提取液。 取10 mL提取液加入20 μL质量浓度为500 mg/L的仲辛醇为内标为待测样品。

1.3.4 酒醅挥发性风味物质分析

GC条件:Elite-5MS毛细管柱(30 m×0.25mm,0.25 μm);升温程序:50 ℃保持2min,4 ℃/min升温至230℃,保持8 min。进样量为1 μL;分流进样;进样口和检测器温度均为250 ℃;载气为氦气(He),流速为1 mL/min。

MS条件:电子电离(electron ionization,EI)源,电子能量70 eV,离子源温度230 ℃,质量扫描范围30~350 m/z。

定性定量分析:采用质谱计算机自带的美国国家标准与技术研究院(national institute of standards and technology,NIST)数据库进行定性,各香气物质组分的质谱经计算机谱库检索,再结合相关报道文献解析谱图,匹配度超过90%确定挥发性风味物质进行定性分析。采用内标法进行定量分析。

1.3.5 统计分析

使用Origin 8.5软件进行数据图绘制;使用IBM.SPSS Statistics 23.0软件对所得数据进行方差分析。

2 结果与分析

2.1 各酒醅醇类物质分析

白酒中的醇主要来自于发酵过程中微生物对原料中的糖和氨基酸等成分的代谢产生,其中高级醇主要是酵母菌在非正常代谢条件下对氨基酸脱氨脱羧而成,其含量和种类与酿酒原料、发酵工艺以及菌种密切相关[6]。醇类物质在白酒中具有助香剂的作用,醇类和酸类酯物质化为酯,也是香味物质的前驱物质,使白酒具有良好风味,既有呈香又有呈味作用,高级醇含量及各种醇类比例对白酒风味有重要作用[7]。由图1可知,在整体酿造过程中,酒醅中醇类风味物质变化显著,头的酒醅风味物质醇类物质含量最高为13.21 mg/kg,其次为第4查。 其中头、二、三、四酒醅分别在发酵第10天、第40天、第20天、第20天时醇类物质含量最高,分别为3.69 mg/kg、0.62 mg/kg、0.43 mg/kg、4.4 mg/kg。

图1 头、二、三、四酒醅中醇类物质含量测定结果
Fig. 1 Determination results of alcohols contents in fermented grains of Dacha, Ercha, Sancha, Sicha

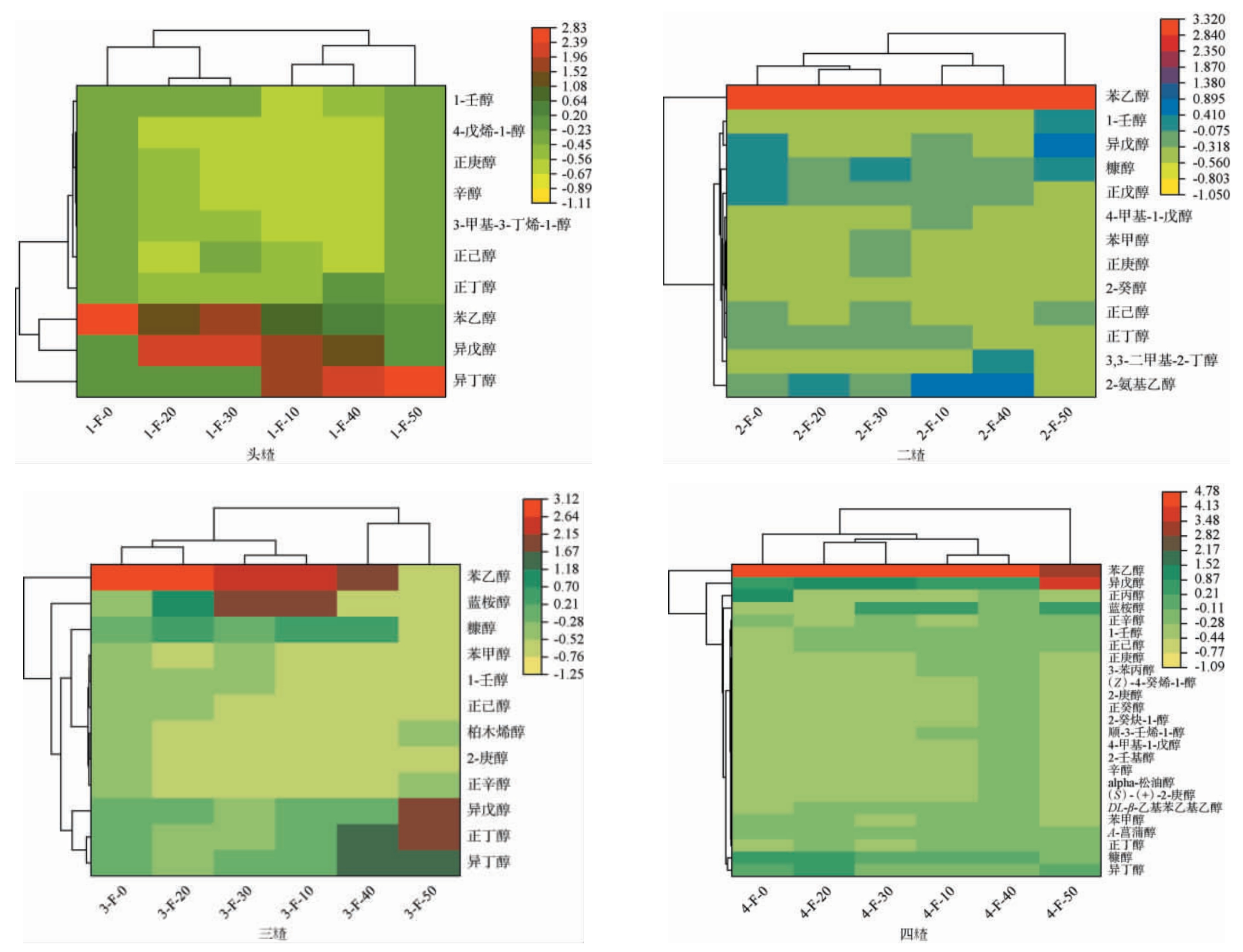
由图2可知,头、二、三、四酒醅中共检测出26种醇类物质,其中,头酒醅中检测出10种,正丁醇、苯乙醇、异戊醇和异丁醇含量占比较高;二酒醅中检测出13种,苯乙醇、异戊醇和2-氨基乙醇含量占比较高;三酒醅中检测出12种,苯乙醇、正丁醇、异丁醇、蓝桉醇和糠醇含量占比较高;四酒醅中检测出24种,苯乙醇、异戊醇、糠醇和蓝桉醇含量占比较高。头、二、三、四酒醅中苯乙醇含量均较高。

图2 头、二、三、四酒醅中醇类物质含量聚类分析热图
Fig. 2 Cluster analysis heatmap of alcohols contents in fermented grains of Dacha, Ercha, Sancha, Sicha

高级醇是酒中重要的呈香物质,主要由酿酒酵母在酿造的主发酵时间段生成,它能够增加发酵酒的协调感和饱满感,赋予白酒特殊的香气,并起到衬托酯香的作用,给人愉悦的感觉,若浓度过高,则有令人不快的杂异味,并且由于人体代谢高级醇的速度相对较慢,在人体中的停留时间较长,使饮用者易醉并且饮用后容易“上头”,危害人体的健康;若浓度较低,则会使酒体不丰满,口感较差[8]。异戊醇、异丁醇、正丁醇和正丙醇是高级醇的主要成分,赋予白酒特殊风味[9]。在整体酿造过程中,一酒醅中高级醇占总醇含量呈上升趋势,由发酵0 d时的19.29%升至发酵50 d时的90.71%;二酒醅中高级醇占总醇含量呈上升趋势,由发酵0 d时的9.2%升至发酵50 d时的18.82%;三酒醅中高级醇占总醇含量呈先上升后下降趋势,在发酵30 d最高为94.49%;四酒醅中高级醇占总醇含量呈先上升后下降趋势,在发酵20 d时最高为44.01%。乔美灵[10]通过研究清香型白酒在发酵过程中微生物群体演替和高级醇形成机理发现,高丰度的庞氏乳杆菌(Lactobacillus pontis)和耐酸乳杆菌(Lactobacillus acetotolerans)这两种菌与高级醇呈正相关,真菌中大部分物种与高级醇具有相关性。 黄志久等[11]通过研究不同参数对清香型白酒品质影响发现,曲粉添加量、糖化酶添加量和发酵时间都对酒体中的高级醇具有调控作用。张小娜[12]通过研究清香型白酒中高级醇影响因素发现,高粱破碎度越高则高级醇含量越高,纯高粱产高级醇含量高于混粮产高级醇含量。但国家标准GB2757—2012《蒸馏酒及其配制酒》中对于高级醇含量指标没有明确的规定。所以得根据酒体风味、口感和饮用舒适度等作为评判标准,再因此去对工艺和发酵时间进行调节。

、二、三、四酒醅中苯乙醇含量均较高,分别在发酵10 d、40 d、0 d、20 d时含量最高。其主要呈玫瑰香和蜂蜜香风味[13],对白酒风味具有重要影响,还与具有玫瑰风味的壬酸乙酯合成有关[14]。糠醇是糠醛的衍生物,在白酒中呈焦糖香[15],但糠醛和糠醇都具有一定副作用。杨婷婷等[16]对糠醛、糠醇在酿造过程中变化规律及溯源研究中发现,糠醇含量在发酵过程中呈先上升趋势,与本实验中糠醇含量呈先缓慢上升后稳定再上升的趋势一致。新检测出的醇类有正庚醇和正癸醇等酒体里常见的醇类,也有(Z)-4-癸烯-1-醇、顺-3-壬烯-1-醇和4-甲基-1-戊醇等酒体种不常见醇类[17],其原因可能是在蒸馏的高温过程中发生化学变化,究其原因还得结合蒸馏出的酒体风味进行结合分析[18]

2.2 各酒醅醛酮类物质分析

适量的醛酮类物质会给酒体提供愉悦风味,如异戊醛具有苹果香[19-22];由于青稞酒工艺产地不同,导致在市场上青稞酒种类繁多,在大多数青稞酒中都能检测出癸醛、乙缩醛、己醛等醛酮类,少数青稞酒中也能检测出β-大马酮、香叶基丙酮和2-壬酮等醛酮类物质,赋予其奶油和花香。醛酮类物质在青稞酒中主要起着呈味和助香等作用,一般是由醇类物质氧化或者脱氢反应或在脂氧合酶作用下由不饱和脂肪酸产生下产生[22]。另外如异戊醛赋予酒体果香味甜感;糠醛赋予酒体谷香、焦香和味涩感,酮类在白酒中较少,适量的酮类赋予酒体愉悦蜜甜感[23]。由图3可知,在整体酿造过程中,酒醅中总醛酮类风味物质含量变化显著,头酒醅风味物质总醛酮物质含量最高为0.739 mg/kg;其中头、二、三、四酒醅分别在发酵第30天、第50天、第10天、第20天时醛酮类物质含量最高,分别为0.216 mg/kg、0.60 mg/kg、0.360 mg/kg、0.400 mg/kg。

图3 头、二、三、四酒醅中醛酮类物质含量测定结果
Fig. 3 Determination results of aldehydes and ketones contents in fermented grains of Dacha, Ercha, Sancha and Sicha

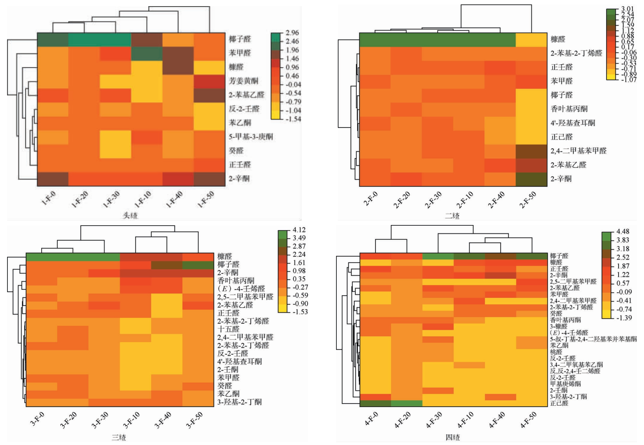
由图4可知,各酒醅中共检测出27种醛酮类物质,其中头酒醅中检测出11种,椰子醛、苯甲醛、2-苯基乙醛、糠醛和2-辛酮含量占比较高;二酒醅中检测出11种,糠醛、2,4-二甲基苯甲醛和2-辛酮含量占比较高;三酒醅中检测出19种,椰子醛、糠醛、2-辛酮和香叶基丙酮含量占比较高;四酒醅中检测出24种,椰子醛、糠醛、正己醛和2-辛酮含量占比较高。

图4 头、二、三、四酒醅中醛酮类物质含量聚类分析热图
Fig. 4 Cluster analysis heatmap of aldehydes and ketones contents in fermented grains of Dacha, Ercha, Sancha, Sicha

、二、三、四酒醅中糠醛、2-辛酮含量均较高。糠醛主要来自于酒曲、稻壳和美拉德反应,是酱香型白酒的重要风味物质,适量的糠醛使酒体呈焦香和坚果香[24],但过量则具有一定副作用[16];在整体酿造过程中,各酒醅的糠醛含量均为发酵前期较高,随后下降,这与赵书圣等[25]的研究结果一致。有研究表明,糠醛会严重影响酵母菌生长,使其产酒精只能为正常产酒精的50%[26],但高温堆积会使糠醛含量大量减少,正好降低或者解除入窖时对酒醅中微生物的抑制[27]。适量2-辛酮在酒体中具有苹果和柑橘的水果香,在米香、清香和部分果酒中较为突出,但过量会产生油脂味和闷味[28]。2-辛酮主要来源于酵母发酵产生,可通过控制发酵温度、酵母菌株、蒸馏摘酒和陈化等进行调控[6]

2.3 各酒醅酯类物质变化

酯类是白酒风味的核心物质,直接决定白酒的香型风格、香气层次与口感协调性,其种类和含量占白酒香味成分的70%以上[29]。由图5可知,酒醅中酯类风味物质变化显著,头酒醅酯类物质含量最高37.71 mg/kg,其次为四。其中头、二、三、四酒醅分别在发酵第30天、第50天、第40天、第20天时醇类物质含量最高,分别为10.11 mg/kg、2.56mg/kg、2.57 mg/kg、8.51 mg/kg。

图5 头、二、三、四酒醅中酯类物质含量测定结果
Fig. 5 Determination results of esters contents in fermented grains of Dacha, Ercha, Sancha and Sicha

肖冬光[30]的研究表明,温度和氧气对于酿造中酯类物质的产出具有显著影响,大部分产酯酵母最适合的产酯温度为20~28 ℃,如卡特多菲毕赤酵母的最适产酯温度为20 ℃,克鲁斯假丝酵母、球拟酵母和高产酯酿酒酵母为24 ℃,汉逊酵母为28 ℃;且耗氧的汉逊酵母、假丝酵母、毕赤酵母等是白酒生产中常用的产酯酵母。

由图6可知,头、二、三、四酒醅中共检测出52种酯类物质,其中头酒醅检测出31种,乙酸乙酯、棕榈酸乙酯、己酸乙酯、2-甲基丁酸乙酯、乙酸异戊酯、3-甲基丁酸乙酯及丁酸乙酯占比较高;二酒醅检测出22种酯类物质,乙酸乙酯、棕榈酸乙酯、乳酸乙酯、乙酸苯乙酯、己酸乙酯及乙酸乙酯占比较高;三酒醅检测出41种酯类物质,棕榈酸乙酯、乳酸乙酯、乙酸苯乙酯、丁二酸二乙酯占比较高;四酒醅中检测出46种,棕榈酸乙酯、丁酸乙酯、乳酸乙酯、乙酸苯乙酯、油酸乙酯、乙酸乙酯和己酸乙酯含量占比较高。综上,棕榈酸乙酯在头、二、三、四酒醅中含量均较高。

图6 头、二、三、四酒醅中酯类物质含量聚类分析热图
Fig. 6 Cluster analysis heatmap of esters contents in fermented grains of Dacha, Ercha, Sancha, Sicha

2.4 各酒醅其他类物质变化

、二、三、四酒醅的其他类风味物质主要包括吡嗪、呋喃、酚类和烯萜类物质。 吡嗪类、呋喃类、吡喃类、高沸点酸性物质是酱香型白酒的重要呈香物质和特征化合物[3]。由图7可知,酒醅中其他类风味物质变化显著,头酒醅其他类物质含量最高为8.08 mg/kg。其中头、二、三、四酒醅分别在发酵第20天、第20天、第50天、第20天时醇类物质含量最高,分别为1.67 mg/kg、0.49 mg/kg、0.72 mg/kg、0.54 mg/kg。

图7 头、二、三、四酒醅中其他类物质含量测定结果
Fig. 7 Determination results of others contents in fermented grains of Dacha, Ercha, Sancha and Sicha

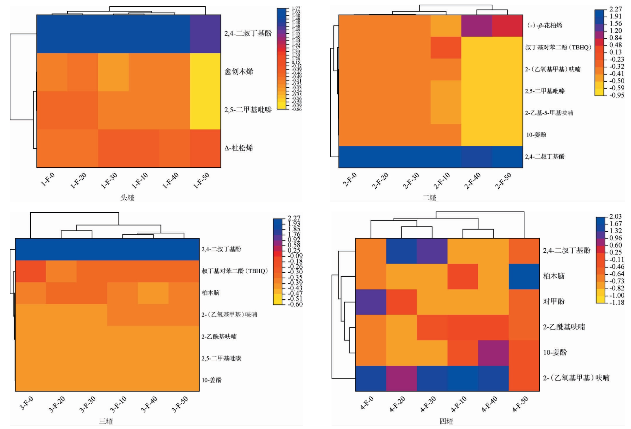
由图8可知,各酒醅中共检测出12种其他类物质,其中头酒醅中检测出4种,2,4-二叔丁基酚和Δ-杜松烯含量占比较高;二酒醅中检测出7种,2,4-二叔丁基酚和(-)-β-花柏烯含量占比较高;三酒醅中检测出7种,2,4-二叔丁基酚和叔丁基对苯二酚含量占比较高;四酒醅中检测出6种,2-(乙氧基甲基)呋喃、2,4-二叔丁基酚、柏木脑含量占比较高。2,4-二叔丁基酚在酒醅中含量均较高。

图8 头、二、三、四酒醅中其他类物质含量聚类分析热图
Fig. 8 Cluster analysis heatmap of others contents in fermented grains of Dacha, Ercha, Sancha, Sicha

2,4-二叔丁基酚与各酯类物质通过重组和缺失证明其对于浓香型白酒的糊香味表征具有重要联系,但关于其形成机理尚未清楚[32]。 通过本实验分析发现,2,4-二叔丁基酚在各酒醅发酵过程中都是发酵前期含量较高,随后呈下降趋势,推测应该是堆积过程中产生或曲粉带入。2,5-二甲基吡嗪具有烤香、坚果香等香味特征,是酱香型白酒中重要的香味物质,也是白酒的健康因子,主要由微生物代谢和氨基与羰基化合物在高温条件下发生美拉德反应合成。在整体酿造过程中,2,5-二甲基吡嗪在各酒醅发酵过程中也呈下降趋势,根据吡嗪类物质形成机理推测,应为高温堆积时产生,然后入窖发酵温度不高导致堆积产生的吡嗪类物质减少。本实验中各酒醅中都检测出呋喃类物质的存在,且与吡嗪类物质变化规律相似,都在发酵初期含量较高且随发酵时间增加而减少。Δ-杜松烯主要为酒体贡献烟香味和独特木质香,在酱香型、药香型、浓香型、芝麻香型等白酒中均有检测出[32-33]

3 结论

本研究应用顶空固相微萃取(HS-SPME)结合气相色谱-质谱(GC-MS)联用技术对青稞白酒发酵过程中头、二、三、四酒醅的挥发性香气成分进行分析。 结果表明,头、二、三、四酒醅共检出122种挥发性风味物质,包括醇类26种,醛酮类27种,酯类52种,其他类12种。 头、二、三、四酒醅中分别检出33种、62种、83种、109种挥发性风味物质,共有挥发性风味物质有33种,苯乙醇、糠醛、2-辛酮、乙酸乙酯、棕榈酸乙酯及2,4-二叔丁基酚等化合物含量均较高;头酒醅中醇类、酯类、其他类物质含量整体较高,而二酒醅中醛酮类物质含量整体较高,青稞白酒特征风味物质乙酸乙酯在头酒醅中含量最高。 本研究可为青稞白酒艺优化工及青稞白酒品质提升提供数据支撑。

参考文献:

[1] 高文俊,范文来,徐岩. 西北高原青稞酒重要挥发性香气成分[J] . 食品工业科技,2013,34(22):49-53.

[2] 张芬军,解成玉,叶晖春,等. 青稞清香型白酒与部分典型清香型白酒的微量成份对比研究[J] .酿酒,2019,46(5):61-67.

[3] 赵雅惠,廖鹏飞,陈璐,等.GC-MS/GC-O-MS结合PLSR分析新型青稞白酒的关键香气物质[J] .食品工业科技,2024,45(19):228-239.

[4] 曹云刚. 汾酒发酵过程中香味成分变化规律的研究[D] . 太原:山西大学,2011.

[5] 郎召伟.泸型酒酿造过程中风味物质变化分析[D] .无锡:江南大学,2015.

[6] 陈彬,何宏魁,刘国英,等. 大小曲及发酵方式对清香型白酒风味的影响[J] .食品与发酵工业,2018,44(8):166-171.

[7] 谢方安.谈白酒香气成分和作用[J] .酿酒,2006,33(5):52-55.

[8] 胡龙坤,潘国杨,姜锦惠,等. 产香酵母在发酵食品中的产香机制及应用进展[J/OL] . 食品工业科技,1-23[2026-02-03] .https://doi.org/10.13386/j.issn1002-0306.2025070268.

[9] 赵蒙,孙安,陈龙. 发酵酒中高级醇的研究进展[J] . 中国酿造,2023,42(5):9-14.

[10] 乔美灵. 传统清香型白酒发酵过程中微生物群落演替及高级醇形成机理研究[D] .呼和浩特:内蒙古农业大学,2023.

[11] 黄志久,薛瑞琪,张雨,等. 不同工艺参数对小曲清香型白酒的品质影响[J] .食品与发酵科技,2022,58(4):32-38.

[12] 张小娜.清香型白酒酿造过程中高级醇影响因素的研究[D] .天津:天津科技大学,2023.

[13] 尹小庆,张玉红. 青稞酒香气成分及其影响因素的研究进展[J] . 中国酿造,2024,43(1):20-26.

[14] 徐新彪,刘双平,邹慧君,等. 高产β-苯乙醇黄酒酵母的选育[J] . 酿酒科技,2018(3):24-30.

[15] 张振东.YBFL酱香型白酒主体风味物质的研究[D] . 邯郸:河北工程大学,2023.

[16] 杨婷婷,黄永光,左乾程,等. 酱香白酒酿造过程糠醛及糠醇的时空分布规律及溯源分析[J] .食品科学,2025,46(5):38-47.

[17] 叶晖春,赵国华,孙海浪,等. 青稞酒风味轮的构建及在系列产品中的应用[J] .酿酒,2023,50(3):48-52.

[18] 张立严,李艳敏,刘伟,等.清香型白酒蒸馏和贮存过程中醇酯的变化规律[J] .酿酒科技,2024(4):54-59.

[19] 倪书干,罗高建,朱美玲. 清香型白酒醛杂味贡献成分定量分析研究[J] .酿酒科技,2023(11):116-122.

[20] 代汉聪,张宿义,周军,等. 不同制作工艺陶坛对浓香型白酒储存效果影响的研究[J] .酿酒科技,2022(4):59-64.

[21] 曹苗文,杨凯环,郝建国,等. 清香型白酒核心产区原酒理化特点的分析研究[J] .酿酒科技,2024(5):37-47.

[22] 倪书干,罗高建,朱美玲. 清香型白酒醛杂味贡献成分定量分析研究[J] .酿酒科技,2023(11):116-122.

[23] 郭雪峰,程玉鑫,黄永光,等.不同香型白酒感官风味及挥发性化合物结构特征[J] .食品科学,2022,43(21):43-54.

[24] 罗帅.酱香型大曲中黑曲形成机制及抑菌性能解析[D] .无锡:江南大学,2022.

[25] 赵书圣,范文来,徐岩,等. 酱香型白酒生产酒醅中呋喃类物质研究[J] .中国酿造,2008,27(21):10-13.

[26] 李雪雁,赵华. 酒精发酵副产物对酵母菌生长的影响[J] . 酿酒,2001,28(6):58-60.

[27] 郭世鑫,李细芬,卢延想,等.酱香型白酒轮次酒的醛类物质与对应出窖糟醅的理化指标相关性研究[J] .中国酿造,2024,43(6):151-155.

[28] FAN S,TANG K,XU Y,et al.Characterization of the potent odorants in Tibetan Qingke Jiu by sensory analysis,aroma extract dilution analysis,quantitative analysis and odor activity values[J] . Food Res Int, 2020,137:109349.

[29] 马瑞瑭,曾思源,黄治国,等. 酱香型白酒不同轮次基酒挥发性风味成分差异分析[J] .中国酿造,2025,44(11):166-174.

[30] 肖冬光. 白酒酿造过程中酯类物质形成机理探讨[J] . 酿酒科技,2022(9):17-24.

[31] 李孟涛,许德富,敖宗华,等. 浓香型基酒中糊味特征物质解析[J] . 食品科学,2024,45(13):173-180.

[32] 赵晴,王明月,唐平,等. 酱香型白酒酿造过程中的萜烯类化合物及溯源分析[J] .食品与发酵工业,2025,51(4):112-122.

[33] 张治刚,王永亮.白酒健康与健康白酒综述[J] .中国酿造,2017,36(5):13-16.

Analysis of volatile flavor compounds in the fermented grains from'steaming four times'of barley Baijiu

WANG Jian1,2,JIA Fuchen1,YIN Xiaoqing1,JIN Yulong1,ZHONG Zhengchang2,ZHANG Yuhong1*
(1.Institute of Agricultural Product Development and Food Science,Academy of Agriculture and Animal Husbandry Sciences of the Xizang Autonomous Region,Lhasa 850000,China;2.College of Food Science,Xizang Agricultural and Animal Husbandry University,Linzhi 860000,China)

Abstract:To improve the brewing process of barley Baijiu and enhance the quality of the liquor,barley Baijiu was prepared by'steaming four times'.The volatile flavor substances in the Dacha,Ercha,Sancha,Sicha fermented grains were analyzed by headspace solid-phase microextraction(HS-SPME)combined with gas chromatography-mass spectrometry(GC-MS) technology. The results showed that a total of 122 volatile flavor substances were detected in the Dacha, Ercha, Sancha, Sicha fermented grains, including 26 alcohols, 27 aldehydes and ketones, 52 esters, and 12 others. A total of 33,62,83 and 109 volatile flavor substances were detected in the Dacha,Ercha,Sancha,Sicha fermented grains,respectively,common volatile flavor substances 33,the contents of phenylethanol,furfural,2-octanone,ethyl acetate,ethyl palmitate and 2,4-dibutylphenol,etc were higher.The contents of alcohols,esters and other substances were overall higher in the Dacha fermented grains,while the contents of aldehydes and ketones were overall higher in the Ercha fermented grains.The ethyl acetate,a characteristic flavor substance of barley Baijiu,had the highest content in the Dacha fermented grains.

Key words:barley Baijiu;fermented grains;flavor;steaming

中图分类号:TS262.3

文章编号:0254-5071(2026)02-0167-07

doi:10.11882/j.issn.0254-5071.2026.02.023

引文格式:王建,贾福晨,尹小庆,等. 青稞白酒清蒸四次清酒醅挥发性风味物质分析[J] . 中国酿造,2026,45(2):167-173.

收稿日期:2025-02-09

修回日期:2025-09-20

基金项目:西藏自治区重大科技专项(XZ202201ZD0001N)

作者简介:王 建(1999-),男,硕士,研究方向为白酒发酵。

*通讯作者:张玉红(1975-),女,研究员,硕士,研究方向为青稞加工与营养。