异常威克汉姆酵母产香条件优化及代谢组学分析

朱春阳1,陈 明1,李 锋1,王 硕2,崔成哲1,李宝志1,郑 宇2,王 超1,宋 佳1,2*

(1.吉林烟草工业有限责任公司,吉林 长春 130000;2.天津科技大学 生物工程学院,天津 300457)

摘 要:为了改善人参和覆盆子复合培养基制备香料香气品格特性,该研究采用从清香型大曲中分离得到的产香异常威克汉姆酵母(Wickerhamomyces anomalus)SMR-WA08发酵人参-覆盆子复合培养基。 通过单因素试验探讨初始pH、发酵温度、转速、接种量、种龄、装液量和发酵时间对致香成分相对含量的影响,并结合响应面法优化菌株SMR-WA08产香条件,运用非靶向代谢组学技术分析其香气成分与差异代谢物。 结果表明,最佳产香条件为:初始pH 5.5、发酵温度26 ℃、转速110 r/min、接种量5%、种龄30 h、装液量100 mL/250 mL、发酵时间4 d。 在此优化条件下,致香成分相对含量为(184.55±2.84)%。 代谢组学分析结果显示,实验组(T组)与空白对照组(C组)之间存在显著代谢差异,基于变量重要性投影(VIP)值>1且P<0.05共筛选出798个显著差异代谢物,其中333个上调,465个下调。 该研究结果显示,异常威克汉姆酵母发酵能有效调控人参-覆盆子基质中相关代谢通路及代谢物,从而丰富和改善产香品质。

关键词:异常威克汉姆酵母;产香条件优化;代谢组学;差异代谢物

在卷烟产品的生产过程中,往往会外源添加一定量的香精香料以提高卷烟产品的品吸特性,改善产品的主体香气,赋予卷烟更自然、更饱满的香气品格特性[1-3]。其中以人参和覆盆子复合搭配制备的香料在卷烟加香中已得到广泛的应用,其香味浓郁,余味芳香,兼有一定润感和甜感,但该种香料的制备以植物提取为主,致使香气特征稍显单一,不够饱满醇厚[4-5]

异常威克汉姆酵母(Wickerhamomyces anomalus),因其独特的生理特性和代谢特征,能够水解发酵底物中风味前体物,有助于挥发性风味物质的释放,同时还能大量合成具有花果香的风味化合物,以丰富和改善发酵产品的风味特性,从而被广泛应用于多种发酵体系和发酵生产过程中[6-7]。韩丽等[8]研究发现,利用异常威克汉姆酵母对枣渣发酵处理后,甜香、果香和花香更突出,且发酵液中含有丰富的醇类、酯类和酮类物质,挥发性香气物质含量提高1.6倍。石馨等[9]利用模拟固态发酵白酒技术对比异常威克汉姆酵母(Wickerhamomyces anomalus)Y-1和安琪酵母发酵菌剂的产香效果,结果证实异常威克汉姆酵母Y-1比安琪酵母发酵菌剂能够发酵产生更多的酯类和醇类物质,尤其是己酸乙酯、庚酸乙酯、辛酸乙酯、苯乙醇等化合物含量更高。段如敏等[10]从清香型大曲中分离出一株产香异常威克汉姆酵母(Wickerhamomyces anomalus)SMR-WA08,该菌株能够较好的增加葡萄酒中乙酸乙酯、乙酸苯乙酯、丁二酸二乙酯、苯甲酸乙酯等含量。 为深入解析物质香气风味及相关代谢调控机制,郭永昊等[11]利用代谢组学技术探究不同糖化条件对酿酒酵母代谢途径及啤酒风味物质形成的影响。 李倞霆等[12]运用代谢组学,探究不同的麦芽对发酵后啤酒风味的影响。杨荣等[13]基于非靶向代谢组学深入分析葡萄酒中差异代谢物的变化与作用。

为改善人参和覆盆子复合培养基制备香料香气品格特性,使其香气风格更饱满醇厚,花果香更突出,本研究以异常威克汉姆酵母(Wickerhamomyces anomalus)SMR-WA08为发酵菌株,通过单因素试验及响应面试验,采用气相色谱-质谱联用(gas chromatography-mass spectrometry,GC-MS)方法测定致香成分相对含量,优化菌株SMR-WA08发酵复合培养基产香发酵条件,并运用非靶向代谢组学技术分析其香气成分与差异代谢物。旨在使其于化妆品、食品和烟草等领域应用中产生理想效果,提升研发产品的附加价值,为微生物发酵提质增香技术提供良好的理论支撑。

1 材料与方法

1.1 材料与试剂

1.1.1 原料与菌种

异常威克汉姆酵母(Wickerhamomyces anomalus)SMRWA08:分离筛选自某清香型白酒大曲,本实验室保藏;人参粉、覆盆子:天津市某药店。

1.1.2 化学试剂

葡萄糖(分析纯):天津市福晨化学试剂厂;蛋白胨(生化试剂):天津市天大化学试剂厂;酵母提取物(生化试剂)、磷酸氢二钾、二氯甲烷、乙酸苯乙酯、异丙醇(均为分析纯):天津市北方天医化学试剂厂。

1.1.3 培养基

酵母浸出粉胨葡萄糖培养基(yeast extract peptone dextrose,YPD):酵母提取物1%,蛋白胨2%,葡萄糖2%。115 ℃灭菌20 min。

人参覆盆子培养基:人参粉100 g/L,覆盆子20 g/L,葡萄糖10 g/L。121 ℃灭菌30 min。

1.2 仪器与设备

MX204/A分析天平:上海梅特勒-托利多仪器公司;HYL-C恒温摇床:中国太仓强乐实验设备厂;BSC-250恒温培养箱:天津市天宇机电有限公司;SB25-12D超声波清洗机:宁波新芝生物科技股份有限公司;TG16-WS台式高速离心机:湖南湘仪实验室仪器开发有限公司;ZHJH-C1109B超净工作台:上海智城分析仪器制造有限公司;CT88A灭菌锅:驰通仪器(上海)有限公司;MS24磁力搅拌器:上海司乐仪器公司;TQ8040 NX气相色谱-质谱联用(GC-MS)仪、HP-5MS毛细管色谱柱(30 m×0.25 mm×0.25 μm):日本岛津公司。

1.3 实验方法

1.3.1 异常威克汉姆酵母SMR-WA08的活化及种子液的制备

菌种活化:取甘油管冻存条件下的异常威克汉姆酵母SMR-WA08菌液100 μL,将其接种于YPD液体培养基中以活化培养,48 h后取1 mL菌液传代至装液量为50 mL/250 mL YPD液体培养基中,30 ℃、180 r/min条件下振荡培养至酵母活菌数为5×108 CFU/mL时,即得菌株SMR-WA08种子液。

1.3.2 产香条件优化

单因素试验[14]:在人参覆盆子培养基中添加菌株SMRWA08种子液进行发酵,分别考察发酵初始pH(4.5、5.0、5.5、6.0、6.5、7.0、7.5)、发酵温度(22 ℃、25 ℃、28 ℃、31℃、34 ℃、37 ℃、40 ℃)、转速(30 r/min、60 r/min、90 r/min、120 r/min、150 r/min、180r/min)、接种量(2%、3%、4%、5%、6%、7%)、种龄(12 h、18h、24 h、30h、36 h、42h、48h)、装液量(25mL/250 mL、50mL/250mL、75mL/250mL、100mL/250mL、125mL/250mL、150 mL/250 mL)、发酵时间(2 d、3 d、4 d、5 d、6 d、7 d、8 d)对致香成分相对含量的影响。

响应面试验:在单因素试验基础上,选择初始pH值(A)、发酵温度(B)、转速(C)3个影响因素作为自变量,以致香成分相对含量为响应值(Y),采用3因素3水平Box-Behnken设计试验优化产香条件。

1.3.3 致香成分相对含量测定

收集各组发酵样品并采用水蒸气蒸馏-二氯甲烷溶剂萃取法提取挥发性成分。具体步骤为:加入适量二氯甲烷,于50 ℃恒温加热萃取1 h,过滤后加入无水硫酸钠脱水过夜。 萃取液经50 ℃真空旋蒸浓缩至约1 mL,过0.22 μm有机滤膜,装入Agilent GC-MS分析进样瓶,并加入双内标(1.202 8 mg/mL乙酸苯乙酯10 μL和5 mg/mL异丙醇10 μL),供GC-MS分析检测。

GC条件[15]:采用HP-5MS毛细管色谱柱(30 m×0.25 mm×0.25 μm),进样口温度250 ℃;进样量1.0 μL;载气为高纯氦气(He);分流比40∶1;柱流速0.8 mL/min;升温程序为初始温度50 ℃保持2 min,以5 ℃/min升温至160 ℃,然后再以8 ℃/min 升到260 ℃,保持15 min。

MS条件[15]:电子电离(electronic ionization,EI)源,电子能量70 eV;扫描范围35~550 amu;离子源温度230 ℃;传输线温度280 ℃,溶剂延迟2 min。

定性定量方法:采用国家标准与技术研究院(national institute of standards and technology,NIST)谱库[16]和Wiley标准数据库[17]对每个检出峰进行串联检索,依据匹配度>80%对化合物进行初步定性,再计算各化合物保留指数,并与文献报道的保留指数进行比较定性,采用内标法进行定量分析。

以未发酵培养基为空白对照,通过比较各物质峰面积与内标峰面积的比值,定量分析发酵前后挥发性香气成分含量变化。致香成分相对含量计算公式如下:

式中:A为发酵后样品中所有香气化合物色谱峰面积总和与内标峰面积的比值;A为未发酵样品中所有香气化合物色谱峰面积与内标峰面积的比值。

1.3.4 代谢组学测序样品的制备

选取未接种菌株未发酵的人参覆盆子培养基上清液作为空白对照组样品,在装液量为100 mL/250 mL人参覆盆子培养基中添加5%(V/V)菌株SMR-WA08种子液(种龄30 h),调节初始pH值为5.5,于26 ℃、110 r/min条件下振荡培养4 d,发酵结束后,取发酵上清液作为实验组样品。

1.3.5 代谢组学分析

设置空白对照组和实验组后,将两组样品委托上海美吉生物医药科技有限公司进行非靶向代谢组学分析。 先将鉴定到的所有代谢物与京都基因与基因组百科全书(Kyoto encyclopedia of genes and genomes,KEGG)数据库和人类代谢组数据库(Human Metabolome Database,HMDB)进行比对,获取详细注释信息。基于不同样本间代谢物的表达差异,采用Ropls软件包对原始数据预处理后,利用主成分分析(principalcomponentanalysis,PCA)和正交偏最小二乘-判别分析(orthogonal partial least squares-discriminant analysis,OPLS-DA)等多元统计方法进行数据降维分析,并计算各代谢物的变量重要性投影(variable importance in the projection,VIP)值。 通过整合多元分析与单变量分析结果,系统筛选差异代谢物。进一步将差异代谢物映射至KEGG数据库,获取其分类信息与代谢通路注释,并深入分析功能通路的富集情况。以VIP值>1.0且P<0.05作为初步筛选标准,结合KEGG通路富集分析进一步筛选,最终确定目标差异代谢物。在数据可视化方面,绘制热图以展示代谢物表达模式,实施层次聚类分析,并系统呈现KEGG通路富集结果,从而全面解析代谢组数据的生物学意义[18-19]

1.3.6 数据处理

每个样品数据集至少独立重复测定3次,结果以“平均值±标准差”表示。采用SPSS 20.0软件进行方差分析及Tukey检验,使用Origin 2018绘制图表,以P<0.05作为差异具有统计学意义的判定标准。

2 结果与分析

2.1 产香条件优化

2.1.1 单因素试验

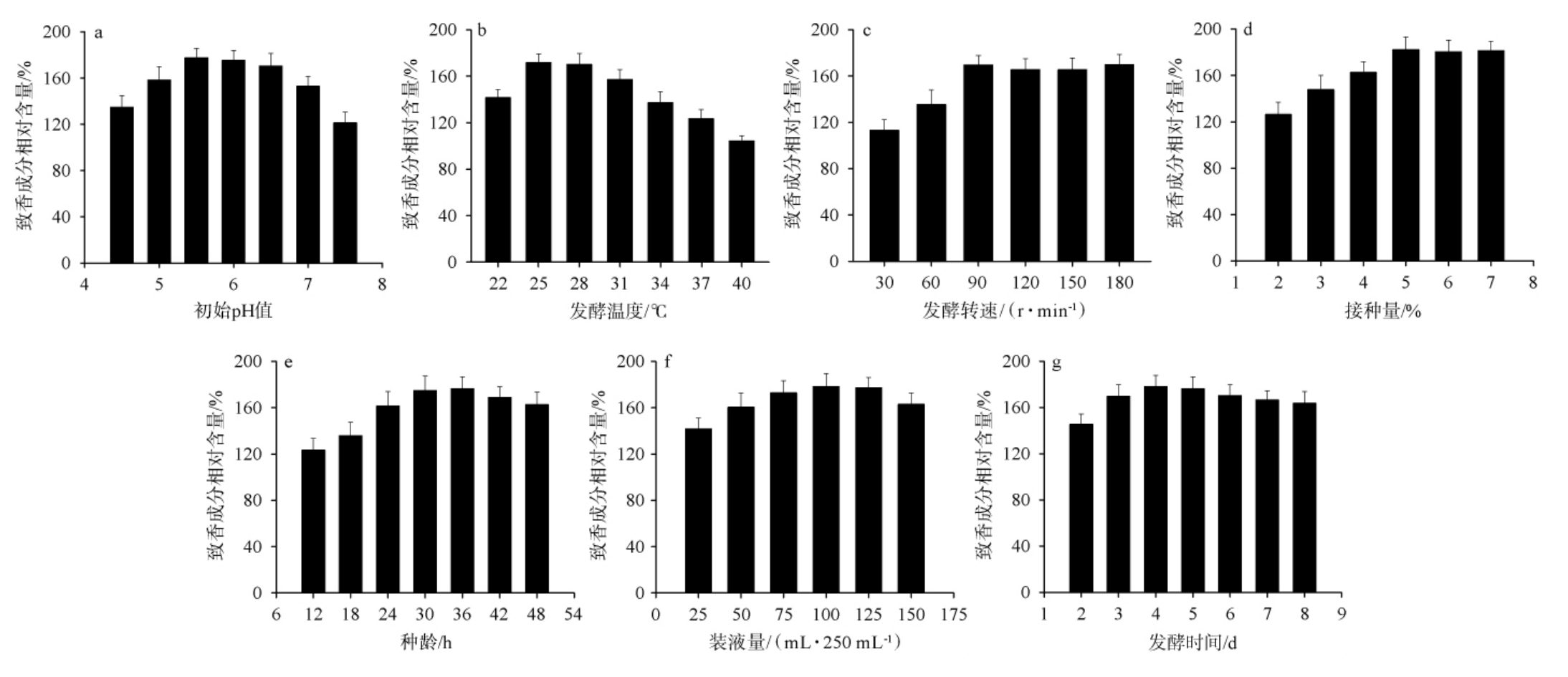
由图1a可知,随着初始pH值在4.5~7.5范围内的升高,致香成分相对含量呈现先升高后降低的趋势。在初始pH为4.5~5.5时,致香成分相对含量随之升高;在初始pH为5.5时,致香成分相对含量最高,达到(177.46±8.25)%;在初始pH>5.5之后,致香成分相对含量有所下降。因此,最适初始pH为5.5。

图1 初始pH值(a)、发酵温度(b)、转速(c)、接种量(d)、种龄(e)、装液量(f)及发酵时间(g)对致香成分相对含量的影响
Fig.1 Effects of initial pH (a), fermentation temperature (b), rotational speed (c), inoculum (d), seed age (e), liquid medium volume (f) and fermentation time (g) on the relative contents of aroma components

由图1b可知,致香成分相对含量随着发酵温度在22~40 ℃范围内的上升呈现先升高后缓慢降低的趋势。在发酵温度为22~25 ℃时,致香成分相对含量随之升高;在发酵温度为25 ℃时,致香成分相对含量最高,达到(171.67±7.45)%;在发酵温度>25 ℃之后,致香成分相对含量有所下降。 因此,最适发酵温度为25 ℃。

由图1c可知,致香成分相对含量随着转速在30~108r/min范围内的升高呈现先升高后缓慢降低的趋势。在转速为30~90 r/min时,致香成分相对含量随之升高;在转速为90 r/min时,致香成分相对含量最高,为(169.46±8.21)%;在转速>90 r/min之后,致香成分相对含量有所下降。因此,最适转速为90 r/min。

由图1d可知,致香成分相对含量随着接种量在2%~7%范围内的增加而呈现先上升后平稳的趋势。在接种量为2%~5%时,致香成分相对含量随之升高;在接种量为5%时,致香成分相对含量最高,为(182.12±11.23)%;在接种量>5%之后,致香成分相对含量变化较小,可能是因致香成分的合成与降解速率接近动态平衡。因此,最适接种量为5%。

由图1e可知,致香成分相对含量随着种龄在12~48 h范围内的增加,致香成分相对含量呈现先增加后平稳的趋势。在种龄为12~30 h时,致香成分相对含量随之升高;在种龄为30 h时,致香成分相对含量最高,为(174.66±12.54)%;在种龄>30 h之后,致香成分相对含量变化不显著,可能是因为异常威克汉姆酵母达到稳定生长期,代谢活性相对平衡。 因此,最适种龄为30 h。

由图1f可知,致香成分相对含量随着装液量在(25 ~150)mL/250 mL范围内的增加呈现先上升后下降的趋势。在装液量为(25~100)mL/250 mL时,致香成分相对含量随之升高;在装液量为100 mL/250 mL时,致香成分相对含量最高,为(178.04±11.55)%;在装液量>100 mL/250 mL之后,致香成分相对含量有所下降。 这可能与溶氧梯度和微生物代谢调控有关。低装液量下充足的氧气促进好氧产香代谢,而高装液量导致的缺氧环境则转向厌氧途径,抑制香气合成,同时可能加剧挥发性成分的损失。因此,最适装液量为100 mL/250 mL。

由图1g可知,致香成分的相对含量随发酵时间在2~8 d范围内的延长,致香成分相对含量呈先缓慢上升后趋于平缓的趋势。 发酵时间在2~4 d时,致香成分相对含量随之升高;发酵时间第4天时,致香成分相对含量最高,为(177.92±9.87)%;发酵时间>4 d之后,致香成分相对含量有所下降。这可能是由于发酵时间过长导致部分挥发性香气成分逸散或降解。因此,最适发酵时间为4 d。

2.1.2 响应面试验结果分析

基于单因素试验结果,选择对致香成分相对含量影响较大的初始pH值(A)、发酵温度(B)、转速(C)为自变量,以致香成分相对含量为响应值(Y),进行3因素3水平Box-Behnken试验设计,Box-Behnken试验设计与结果见表1,方差分析结果见表2。

表1 产香条件优化Box-Behnken试验设计与结果
Table 1 Design and results of Box-Behnken experiments aroma production conditions optimization

编号 A 初始pH值 B 发酵温度/℃C 转速/(r·min-1)Y 致香成分相对含量/%1 2 3 4 5 6 7 8 9 1 0 11 12 13 14 15 16 17 5.5 5.0 5.5 5.0 6.0 6.0 5.0 6.0 5.5 5.5 5.5 6.0 5.0 5.5 5.5 5.5 5.5 28 28 28 25 22 25 25 28 25 25 25 25 22 22 25 25 22 120 90 60 60 90 120 120 90 90 90 90 60 90 60 90 90 120 185.24 177.34 164.28 161.06 168.93 183.29 178.62 170.13 184.28 188.43 186.94 156.19 164.29 152.42 181.37 185.92 173.96

表2 Box-Behnken试验结果方差分析
Table 2 Variance analysis of Box-Behnken experiments results

注:“*”表示对结果影响显著(P<0.05);“**”表示对结果影响极显著(P<0.01)。

来源 平方和 自由度 均方 F 值 P 值 显著性模型**ABCA B*****AC BC A2 B2 C2 39.6 0.165 8 30.22 164.2 6.07 3.93 0.0145 37.75 46.77 51.35<0.000 1 0.696 0.000 9<0.000 1 0.043 2 0.087 7 0.907 4 0.000 5 0.000 2 0.000 2******残差失拟项误差相关总和2 060.9 0.959 1 174.75 949.61 35.11 22.75 0.084 1 218.29 270.50 296.94 40.48 11.16 29.32 2 101.38 9 1 1 1 1 1 1 1 1 1 7 3 4 1 6 228.99 0.9591 174.75 949.61 35.11 22.75 0.084 1 218.29 270.50 296.94 5.78 3.72 7.33 0.507 7 0.697 8

使用Design Expert 15.0软件对表1试验结果进行多元二次回归拟合,建立以致香成分相对含量(Y)为响应值的二次多项式回归模型,得到Y与初始pH值(A)、发酵温度(B)、转速(C)的多元二次回归方程如下:

Y=185.39-0.35A+4.67B+10.90C-2.96AB+2.38AC-0.15BC-7.2A2-8.02B2-8.40C2

由表2可知,二次多项回归模型P值<0.000 1,极显著;失拟项P值为0.697 8,>0.05,不显著,表明该模型可靠。 模型决定系数为R2=0.980 7,调整决定系数R2Adj=0.956 0,说明该模型可解释98%的响应值变化,表明该试验模型拟合度良好。由P值可知,一次项BC,二次项A2B2C2对结果影响极显著(P<0.01),交互项AB对结果影响显著(P<0.05),其余项对结果影响不显著(P>0.05)。由F值可知,各因素对结果影响顺序为转速(C)>发酵温度(B)>初始pH值(A)。

通过Design Expert 15.0软件对回归模型进行最优求解,得到异常威克汉姆酵母SMR-WA08最佳产香条件为:初始pH值5.5、发酵温度25.8 ℃,转速109.4 r/min。在此条件下,致香成分相对含量预测值为183.17%。考虑实际操作的可行性,将异常威克汉姆酵母SMR-WA08最优产香条件修正为:初始pH值5.5,发酵温度26 ℃,发酵转速110 r/min。在此优化条件下进行3次平行验证试验,得到致香成分相对含量实际值为(184.55±2.84)%,与预测值接近,表明该模型可行,可用于异常威克汉姆酵母SMR-WA08产香条件优化。

2.2 代谢组学分析

2.2.1 代谢物鉴定分析

以未接菌发酵的人参覆盆子培养基样品为空白对照组(C组),接入异常威克汉姆酵母SMR-WA08发酵人参覆盆子培养基的样品为实验组(T组),对两组样品进行代谢物鉴定,代谢物种数及各类别代谢物占比分析结果见图2。

图2 人参-覆盆子培养基发酵液样品中代谢物种数Venn图(a)及各类别代谢物占比(b)
Fig.2 Venn diagram (a) and the proportion of various categories metabolites (b) in fermentation liquid samples of ginsengraspberry medium

由图2a可知,C组和T组在阳离子与阴离子模式下共检测到3 151种代谢物,C组与T组共有代谢物为2 874种,C组独有代谢物155种,T组独有代谢物122种。3 151种代谢物经与HMDB 数据库比对后,发现注释到HMDB数据库中的有453个化合物,对代谢物进行分类,由图2b可知,189个化合物注释到有机酸及衍生物,占比最高,为36.63%;75个化合物注释到有机氧化合物,占比为14.53%;73个化合物注释到有机氧杂环化合物,占比为14.15%;66个化合物注释到脂类和类脂类分子,占比为12.79%;42个化合物注释到苯基丙酮和多酮类化合物,占比为8.14%。结果表明,有机酸及衍生物、有机氧杂环化合物、有机氧化合物、脂类物质是注释到的主要类别。

2.2.2 主成分分析

通过对样本及质控样品(quality control,QC)进行主成分分析(PCA),可直观评估各组间整体代谢差异及组内变异程度,同时利用QC样本监测数据质量[20-21]。基于阳离子、阴离子模式下检测代谢物不同样品的主成分分析得分图见图3。 由图3可知,在阳离子模式下,第一主成分(principal component,PC1)的方差贡献率为57.30%,第二主成分(PC2)的方差贡献率为19.20%,累计方差贡献率为76.50%;在阴离子模式下,第一主成分(PC1)方差贡献率为67.80%,第二主成分(PC2)方差贡献率为13.00%,累计方差贡献率为80.80%。 在阳离子、阴离子模式下累计方差贡献率均>50.00%,表明所建PCA模型可靠性良好,并且PCA可有效区分实验组与对照组样本,表明接入异常威克汉姆酵母SMR-WA08菌株发酵人参覆盆子发酵液的代谢物发生了显著变化,综上该数据集适于后续深入统计分析。

图3 阳离子(a)和阴离子(b)模式下对照组和实验组代谢物主成分分析得分图
Fig.3 Principal component analysis score plots of metabolites in control group and experimental group under the cationic (a)and anionic (b) modes

2.2.3 显著差异代谢物筛选

基于阳离子、阴离子模式下检测代谢物不同样品的正交偏最小二乘判别分析得分图见图4。由图4可知,在阳离子模式下,自变量拟合指数R2X为0.69,因变量拟合指数R2Y为0.999,预测能力Q2达0.984;在阴离子模式下,自变量拟合指数R2X为0.745,因变量拟合指数R2Y为0.999,预测能力Q2为0.990。所有指标均>0.5的可接受阈值,表明模型拟合优度优异且无过拟合风险。 结果表明,OPLS-DA可有效区分试验组与对照组样本。

图4 在阳离子(a)和阴离子(b)模式下对照组和实验组代谢物正交偏最小二乘判别分析得分图
Fig.4 Orthogonal partial least squares discriminant analysis score plots of metabolites in control group and experimental group under the cationic (a) and anionic (b) modes

基于OPLS-DA模型分析结果,结合变量投影重要性(VIP)值与双尾T检验,以VIP值>1且P<0.05作为筛选标准,筛选显著差异代谢物,结果见图5。由图5可知,通过火山图直观展示接入菌株的发酵样品(T组)和未接菌的发酵样品(C组)显著差异代谢物比较,共筛选出798个显著差异代谢物,其中333个上调,465个下调。

图5 对照组和实验组显著差异代谢物火山图
Fig.5 Volcano plot of significantly differential metabolites in control group and experimental group

采用差异代谢物的聚类分析能够直观地呈现不同组别间代谢物的变化趋势,揭示实验过程中发生显著上调或下调的代谢物[22]。对照组和实验组显著差异代谢物聚类分析结果见图6。由图6可知,与C组相比,T组的2-羟基-4甲基戊酸、2-异丙基苹果酸、琥珀酸及柠檬苹果酸等代谢物趋于上调,而山梨糖、乳果糖、L-脯氨酸及甜菜碱等代谢物趋于下调。 发酵过程中有机酸不仅能增加物质的风味和香气,还有效抑制发酵中不良微生物生长[23]。 结果表明,异常威克汉姆酵母SMR-WA08发酵能够对人参-覆盆子复合培养基代谢物进行调控,进而增强其产香品质特性。

图6 对照组和实验组显著差异代谢物聚类分析热图
Fig.6 Cluster analysis heat map of significantly differential metabolites in control group and experimental group

2.2.4 关键代谢通路的筛选

代谢组学分析的核心目标是鉴定与机体功能状态密切相关的关键代谢物,并阐明其生物学功能,如动物感染疾病后可出现脂质、氨基酸及胆汁酸代谢等过程的紊乱[24-26]。KEGG通路富集分析显示,差异代谢物常富集于特定通路,提示其表达水平变化可能导致通路功能失调,并与特定表型相关[27]。异常威克汉姆酵母SMR-WA08的添加显著调控人参覆盆子复合香料的代谢通路。对照组和试验组前20显著差异代谢物KEGG通路富集分析及差异丰度评分见图7。由图7a可知,KEGG通路富集具有前10显著差异代谢物的代谢通路有癌症中心碳代谢、蛋白质消化吸收、ABC转运蛋白、D-氨基酸代谢、植物次生代谢物的生物合成、核苷酸代谢、氨酰-转移核糖核酸(transfer ribonucleic acid,tRNA)生物合成、鸟氨酸、赖氨酸和烟酸类生物碱的生物合成、嘌呤代谢和细胞缝隙连接。

图7 对照组和实验组前20显著差异代谢物KEGG通路富集分析(a)及差异丰度评分(b)
Fig.7 KEGG pathway enrichment analysis (a) and differential abundance score (b) of top 20 significantly differential metabolites in control group and experimental group

由图7b可知,在显著变化的20条通路中,16条通路中的差异代谢物表达下调,3条通路中的差异代谢物上调。这些变化主要集中在次级代谢合成(如苯丙素类生物合成)、氨基酸代谢(如赖氨酸降解和谷氨酸积累)、碳水化合物代谢(如半乳糖代谢)以及膜运输(如ABC转运蛋白)等关键代谢通路。具体而言,菌株通过调节次级代谢合成通路,促进了人参和覆盆子中活性成分的转化,提升了香料的功效品质[28]。同时,氨基酸代谢在满足菌株生长需求的同时,提升风味与感官特性[29]。半乳糖代谢调节促进了大分子多糖的降解,有利于风味物质释放[30]。 综上,异常威克汉姆酵母SMR-WA08通过协同调控上述代谢通路及代谢物,实现对人参和覆盆子复合香料风味品质的提升。

3 结论

本研究通过单因素及响应面试验,确定了异常威克汉姆酵母SMR-WA0发酵人参-覆盆子复合培养基最佳产香条件为:初始pH 5.5、发酵温度26 ℃、转速110 r/min、接种量5%、种龄30 h、装液量100 mL/250 mL、发酵时间4 d。在此条件下,致香成分相对含量为(184.55±2.84)%。 代谢组学分析显示,实验组(T组)与空白对照组(C组)之间存在显著代谢差异。基于VIP>1且P<0.05 的标准,共筛选出798个显著差异代谢物,其中333个上调,465个下调。差异代谢物主要富集于次级代谢合成、氨基酸代谢及碳水化合物代谢等关键通路,表明异常威克汉姆酵母发酵能够有效调控人参-覆盆子基质中的相关代谢过程。综上,利用异常威克汉姆酵母SMR-WA08发酵人参-覆盆子复合培养基,是提升其香气品质的有效策略,具备良好的推广应用前景。

参考文献:

[1]董高峰,刘晓敏,周桂园,等.适用于再造烟叶的香料保香技术研究现状与展望[J].造纸科学与技术,2025,44(6):14-23.

[2]张新龙,赵尔婉,黄家乐,等.基于美拉德反应的红茶茶末烟用香料的制备及加香效果研究[J].轻工学报,2024,39(6):57-69.

[3]程世鸿,邵璐.卷烟调香技术研究进展[J].广东化工,2024,51(18):107-109.

[4]仲崇宝,张磊,崔嵬,等.卷烟制丝加香工序加香均匀性及其影响因素研究[J].新型工业化,2021,11(4):130-131.

[5]程向红,陈孟起,田海英,等.雪茄风味卷烟原料配方设计[J].轻工学报,2018,33(2):42-49.

[6]陆进舟,蒋贵兰,李银凤,等.异常威克汉姆酵母发酵米酒品质特性分析[J].贵州农机化,2024(4):25-27,31.

[7]时伟,郑红梅,黄婷,等.中国白酒酿造核心微生物相互作用研究进展[J].食品与发酵工业,2025,51(20):427-436.

[8]韩丽,李文钦,王秋领,等.一株异常威克汉姆酵母XL2发酵枣渣产香研究[J].食品与发酵工业,2025,51(16):279-288.

[9]石馨,惠明,田青,等.异常威克汉姆酵母Y-1对模拟固态发酵白酒酒醅理化指标及风味的影响[J].中国酿造,2022,41(9):31-36.

[10]段如敏,殷沛沛,王磊,等.清香型大曲中高产乙酸乙酯酿酒酵母的筛选及其对烟叶提取液发酵影响的研究[J].食品与发酵科技,2025,61(3):1-9.

[11]郭永昊,李倞霆,孙珍,等.利用代谢组学方法分析不同糖化条件对酿酒酵母代谢途径以及啤酒中风味物质形成的分析[J].现代食品科技,2023,39(11):235-241.

[12]李倞霆,孙珍,唐文竹.应用代谢组学技术研究麦芽对啤酒风味及酵母代谢途径的影响[J].北京大学学报(自然科学版),2025,61(4):617-628.

[13]杨荣,黄慧玲,谢李明,等.基于非靶向代谢组学分析添加富含谷胱甘肽酵母衍生物对混菌发酵葡萄酒代谢物的影响[J].食品工业科技,2025,46(16):184-193.

[14]孙福艳,杨雪鹏,杨成,等.烟草增香生物技术研究进展[J].云南化工,2023,50(2):9-14.

[15]罗曾源,付英杰,张博莹,等.以分配系数为指标分析卷烟中酯类单体香料的分配转移特征[J].烟草科技,2025,58(9):1-12.

[16]吴若昕,肖晓明,邢立霞,等.气相色谱-串联质谱法同时测定香精和烟草中16种致香成分[J].香料香精化妆品,2020(1):9-15.

[17]TANMOY G,SYED A S,ARNAVJYOTI D,et al.The diagnostic accuracy of serum procalcitonin for sepsis in adult patients in the emergency department:a systematic review and meta-analysis[J].CHEST Critical Care,2025,3(4):100179.

[18]赵诗睿,任青兮,周志磊,等.基于代谢组学解析黄酒非挥发性成分的研究进展[J].食品科学,2025,46(18):344-359.

[19]ZHU Y, AI Y T, ZHOU J F, et al.Unveiling bioactive components in Sargassum fusiforme via phytochemical and biological evaluation: A heterogeneous information ensemble approach[J].Chinese Herbal Medicines,2025,17(4):822-836.

[20]江虹,李志元,郭凡荣,等.基于UPLC-ESI-MS/MS探究低盐处理对两色金鸡菊叶片类黄酮代谢物的影响[J].中国食品添加剂,2025,36(10):42-50.

[21]李军,周娅丽,陈夕飞,等.基于广泛靶向代谢组学分析桃果体内代谢物对异常威克汉姆酵母的响应[J].现代食品科技,2025,41(1):1-11.

[22]焦金龙,施蕊,汪永贵,等.不同栽培模式下人参根际土壤代谢物的差异研究[J].中国农学通报,2024,40(20):46-53.

[23]谭壹,晏培,任婷婷,等.酱香大曲母曲与大曲的理化指标和风味特征差异性分析[J].中国酿造,2025,44(9):34-39.

[24]赵诗睿,任青兮,周志磊,等.基于代谢组学解析黄酒非挥发性成分的研究进展[J].食品科学,2025,46(18):344-359.

[25]徐杨,何芷绮,刘晓凤,等.代谢组学在中药复方制剂领域的研究进展及面临的挑战[J].中草药,2024,55(4):1354-1364.

[26]陈佳俊,周玉枝,秦雪梅.代谢组学技术在生物医药领域研究中的创新与应用[J].药学学报,2023,58(8):2271-2282.

[27]ZHANG Q,YANG M,ZHANG P,et al.Deciphering gastric inflammation-induced tumorigenesis through multi-omics data and AI methods[J].Cancer Biol Mede,2024,21(4):312-330.

[28]高兴,高燕,赵璇,等.基于微生物发酵的人参皂苷转化研究进展[J].中国现代中药,2025,27(7):1379-1391.

[29]李金哥,纪艳青,张建营,等.豆豉中氨基酸代谢及其对产品品质影响研究进展[J].中国调味品,2024,49(11):213-220.

[30]李倞霆,孙珍,唐文竹.应用代谢组学技术研究麦芽对啤酒风味及酵母代谢途径的影响[J].北京大学学报(自然科学版),2025,61(4):617-628.

Optimization of aroma production conditions and metabolomics analysis of Wickerhamomyces anomalus

ZHU Chunyang1,CHEN Ming1,LI Feng1,WANG Shuo2,CUI Chengzhe1,LI Baozhi1,ZHENG Yu2,WANG Chao1,SONG Jia1,2*
(1.Jilin Tobacco Industry Co.,Ltd.,Changchun 130000,China;2.School of Bioengineering,Tianjin University of Science and Technology,Tianjin 300457,China)

Abstract:In order to improve the aroma character traits of the spice produced by the compound culture medium of ginseng and raspberry,an aromaproducing yeast of Wickerhamomyces anomalus SMR-WA08 isolated from light aroma-type Daqu was used to ferment a ginseng-raspberry composite medium in this study.The effects of initial pH,fermentation temperature,rotational speed,inoculum,seed age,medium volume,and fermentation time on the relative content of aroma compounds were investigated by single-factor experiments.The aroma-producing conditions of strain SMR-WA08 were optimized using response surface methodology.Non-targeted metabolomics was employed to analyze its aroma components and differential metabolites.The results showed that the optimal aroma-producing conditions were initial pH 5.5, fermentation temperature 26 ℃, rotation speed 110 r/min, inoculum 5%, culture age 30 h, medium volume 100 ml/250 ml, and fermentation time 4 d.Under these optimal conditions, the relative content of aroma compounds reached(184.55±2.84)%.Metabolomics analysis indicated significant metabolic differences between the experimental group(T group) and the blank control group (C group).Based on variable importance in the projection (VIP) value>1 and P<0.05, a total of 798 significant differential metabolites were identified, including 333 upregulated and 465 downregulated compounds.The research results shown that W.anomalus fermentation could effectively regulate the relevant metabolic pathways and metabolites in the ginseng-raspberry substrate,thereby enriching and improving the aroma quality.

Key words:Wickerhamomyces anomalus;aroma production condition optimization;metabolomics;differential metabolite

中图分类号:TS452+.1

文章编号:0254-5071(2026)01-0102-08

doi: 10.11882/j.issn.0254-5071.2026.01.014

引文格式:朱春阳,陈明,李锋,等.异常威克汉姆酵母产香条件优化及代谢组学分析[J].中国酿造,2026,45(1):102-109.

收稿日期:2025-11-05

修回日期:2025-12-05

基金项目:吉林烟草工业有限责任公司(No.KJXM-2024-15)

作者简介:朱春阳(1987-),男,工程师,硕士,研究方向为发酵工程。

*通讯作者:宋 佳(1986-),男,副教授,博士,研究方向为发酵食品酿造过程分析与调控。